题目内容

函数f(x)=Asin(ωx+ϕ)(其中A>0,|ϕ|<)的图象如图所示,为了得到g(x)=sin2x的图象,则只需将f(x)的图象( )
A.向右平移个长度单位
B.向右平移个长度单位
C.向左平移个长度单位
D.向左平移个长度单位
【答案】分析:利用函数的图象求出A,T,求出ω,利用函数的图象经过的特殊点,集合ϕ的范围,求出ϕ得到函数的解析式,然后推出平移的单位与方向,得到选项.
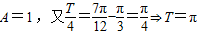
解答:解:由图象可知,从而
代入到f(x)=sin(2x+φ)中得,
根据|ϕ|<得到,所以函数f(x)的解析式为
将f(x)图象右移个长度单即可得到g(x)=sin2x的图象.
故选A.
点评:本题考查由y=Asin(ωx+φ)的部分图象确定其解析式,函数y=Asin(ωx+φ)的图象变换,考查计算能力.
练习册系列答案
相关题目

违法和不良信息举报电话:027-86699610 举报邮箱:58377363@163.com

精英家教网