题目内容
已知数列{an}是各项均不为0的等差数列,公差为d,Sn为其前n项和,且满足
.数列{bn}满足
,Tn为数列{bn}的前n项和.
(I)求a1,d和Tn;
(II)若对任意的n∈N*,不等式
恒成立,求实数λ的取值范围.
(I)求a1,d和Tn;
(II)若对任意的n∈N*,不等式
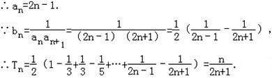
解:(I)在
中,令n=1,n=2,
得
,即
,
解得a1=1,d=2,
(II)(1)当n为偶数时,要使不等式
恒成立,
即需不等式
恒成立.
∵
,等号在n=2时取得.∴此时λ需满足λ<25.
(2)当n为奇数时,要使不等式
恒成立,
即需不等式
恒成立.
∴
是随n的增大而增大,
∴
取得最小值﹣6.
∴此时λ需满足λ<﹣21.
综合(1)(2)可得λ<﹣21
∴?的取值范围是{λ|λ<﹣21}.
得
解得a1=1,d=2,
(II)(1)当n为偶数时,要使不等式
即需不等式
∵
(2)当n为奇数时,要使不等式
即需不等式
∴
∴
∴此时λ需满足λ<﹣21.
综合(1)(2)可得λ<﹣21
∴?的取值范围是{λ|λ<﹣21}.
练习册系列答案
相关题目