搜索
题目内容
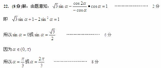
已知
求
的值
试题答案
相关练习册答案
练习册系列答案
鲁人泰斗快乐寒假假期好时光武汉大学出版社系列答案
孟建平寒假练练系列答案
初中综合寒假作业系列答案
本土教辅轻松寒假总复习系列答案
高效课堂系列寒假作业系列答案
寒假生活微指导系列答案
培优教育寒假作业武汉大学出版社系列答案
寒假作业西安出版社系列答案
金版新学案寒假作业必刷题系列答案
金牛系列假期作业寒系列答案
相关题目
(1)已知
,
,求
的值;
(2)已知
.
求
的值.
已知
(Ⅰ)求
的值.
(Ⅱ)求
的值.
已知
求
的值。
(本小题12分)已知
⑴求
的值; ⑵判断
的奇偶性。
已知
求
的值。
关 闭
试题分类
高中
数学
英语
物理
化学
生物
地理
初中
数学
英语
物理
化学
生物
地理
小学
数学
英语
其他
阅读理解答案
已回答习题
未回答习题
题目汇总
试卷汇总
练习册解析答案