题目内容
已知等差数列{an}(n∈N+)中,an+1>an,a2a9=232,a4+a7=37,
(Ⅰ)求数列{an}的通项公式;
(Ⅱ)若将数列{an}的项重新组合,得到新数列{bn},具体方法如下:b1=a1,b2=a2+a3,b3=a4+a5+a6+a7,b4=a8+a9+a10+…+a15,…,依此类推,第n项bn由相应的{an}中2n-1项的和组成,求数列
的前n项和Tn。
解:(Ⅰ)由
与
,
解得:
或
(由于
,舍去),
设公差为d,
则
,解得
,
所以数列
的通项公式为
。
(Ⅱ)由题意得:


,
而
是首项为2,
公差为3的等差数列的前
项的和,
所以
,
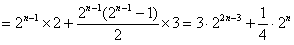
所以
,
所以
,
所以
。
解得:
设公差为d,
则
所以数列
(Ⅱ)由题意得:
而
公差为3的等差数列的前
所以
所以
所以
所以
练习册系列答案
相关题目