题目内容
若关于
的不等式
存在实数解,则实数
的取值范围是
.
【答案】
![]()
【解析】
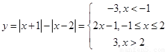
试题分析:由已知得
,函数
的最大值是
,所以要使得不等式
存在实数解,则
,解得
或
.
考点:1.分段函数的图像与性质;2.解不等式
练习册系列答案
相关题目
题目内容
若关于
的不等式
存在实数解,则实数
的取值范围是
.
![]()
【解析】
试题分析:由已知得
,函数
的最大值是
,所以要使得不等式
存在实数解,则
,解得
或
.
考点:1.分段函数的图像与性质;2.解不等式