题目内容
已知函数f(x)=ax3-3x2+1-
。
(1)讨论函数f(x)的单调性;
(2)若曲线y=f(x)上两点A、B处的切线都与y轴垂直,且线段AB与x轴有公共点,求实数a的取值范围。
(1)讨论函数f(x)的单调性;
(2)若曲线y=f(x)上两点A、B处的切线都与y轴垂直,且线段AB与x轴有公共点,求实数a的取值范围。
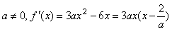
解:(1)由题设知
令
得
当a>0时
若
,则
所以f(x)在区间
上是增函数;
若
,则
所以f(x)在区间
上是减函数;
若
,则
所以f(x)在区间
上是增函数;
当a<0时,
若
,则
所以f(x)在区间
上是减函数;
若
,则
所以f(x)在区间
上是减函数;
若
,则
所以f(x)在区间
上是增函数;
若
,则
所以f(x)在区间
上是减函数。
(2)由(1)的讨论及题设知,曲线y=f(x)上的两点A、B的纵坐标为函数的极值,
且函数
在
处分别是取得极值
,
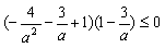
因为线段AB与x轴有公共点,
所以
即
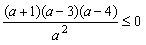
所以
故
解得:-1≤a<0或3≤a≤4
即所求实数a的取值范围是[-1,0)∪[3,4]。
令
当a>0时
若
所以f(x)在区间
若
所以f(x)在区间
若
所以f(x)在区间
当a<0时,
若
所以f(x)在区间
若
所以f(x)在区间
若
所以f(x)在区间
若
所以f(x)在区间
(2)由(1)的讨论及题设知,曲线y=f(x)上的两点A、B的纵坐标为函数的极值,
且函数
因为线段AB与x轴有公共点,
所以
即
所以
故
解得:-1≤a<0或3≤a≤4
即所求实数a的取值范围是[-1,0)∪[3,4]。
练习册系列答案
相关题目