题目内容
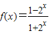
已知函数 f(x)=(1)求实数a的值;
(2)判断函数f(x)在R上的单调性并用定义法证明;
(3)若函数f(x)的图象经过点(1,
【答案】分析:(1)利用函数是奇函数的性质,由f(0)=0解a即可.
(2)利用定义证明还是函数单调性.
(3)利用函数的单调性解不等式即可.
解答:解:(1)因为函数的定义域为R,且函数为奇函数,所以f(0)=0,
即f(0)=
,解得a=-1.
(2)因为a=-1,所以
,
设x1<x2,则
,
因为x10,即f(x1)>f(x2),
所以函数为减函数.
(3)因为函数f(x)的图象经过点(1,
),所以f(1)=
,
所以不等式f(x2-2mx+m+1)≤
等价为f(x2-2mx+m+1)≤f(1),
由(2)知函数为减函数,
所以x2-2mx+m+1≥1恒成立,即x2-2mx+m≥0恒成立.
所以△=4m2-4m≤0,解得0≤m≤1.
点评:本题主要考查函数奇偶性的应用,以及函数单调性的判断和证明,利用定义法是证明函数单调性的基本方法.
(2)利用定义证明还是函数单调性.
(3)利用函数的单调性解不等式即可.
解答:解:(1)因为函数的定义域为R,且函数为奇函数,所以f(0)=0,
即f(0)=
(2)因为a=-1,所以
设x1<x2,则
因为x10,即f(x1)>f(x2),
所以函数为减函数.
(3)因为函数f(x)的图象经过点(1,
所以不等式f(x2-2mx+m+1)≤
由(2)知函数为减函数,
所以x2-2mx+m+1≥1恒成立,即x2-2mx+m≥0恒成立.
所以△=4m2-4m≤0,解得0≤m≤1.
点评:本题主要考查函数奇偶性的应用,以及函数单调性的判断和证明,利用定义法是证明函数单调性的基本方法.
练习册系列答案
相关题目
已知函数f(x)=x2-bx的图象在点A(1,f(1))处的切线l与直线3x-y+2=0平行,若数列{
}的前n项和为Sn,则S2010的值为( )
| 1 |
| f(n) |
A、
| ||
B、
| ||
C、
| ||
D、
|