题目内容
已知数列{an}是各项均不为0的等差数列,公差为d,Sn为其前n项和,且满足an2=S2n-1,n∈N*,数列
{bn}满足
,Tn为数列{bn}的前n项和,
(1)求a1、d和Tn;
(2)若对任意的n∈N*,不等式λTn<n+8·(-1)n恒成立,求实数λ的取值范围;
(3)是否存在正整数m,n(1<m<n),使得T1,Tm,Tn成等比数列?若存在,求出所有m,n的值;若不存在,请说明理由。
{bn}满足
(1)求a1、d和Tn;
(2)若对任意的n∈N*,不等式λTn<n+8·(-1)n恒成立,求实数λ的取值范围;
(3)是否存在正整数m,n(1<m<n),使得T1,Tm,Tn成等比数列?若存在,求出所有m,n的值;若不存在,请说明理由。
解:(1)在
中,
令n=1,n=2,
得
,
解得
,
∴
,
,
∴
。
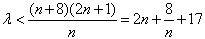
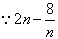
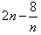
(2)①当n为偶数时,要使不等式
恒成立,
即需不等式
恒成立,
,等号在n=2时取得,
∴此时λ需满足λ<25;
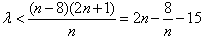
②当n为奇数时,要使不等式
恒成立,
即需不等式
恒成立,
是随n的增大而增大,
∴n=1时,
取得最小值-6,
∴此时λ需满足λ<-21;
综合①、②可得λ的取值范围是λ<-21。
(3)
,
若
成等比数列,
则
,
由
,
即
,
∴
,
又m∈N,且m>1,
所以m=2,此时n=12,
因此,当且仅当m=2,n=12时,数列{Tn}中的
成等比数列。
令n=1,n=2,
得
解得
∴
∴
(2)①当n为偶数时,要使不等式
即需不等式
∴此时λ需满足λ<25;
②当n为奇数时,要使不等式
即需不等式
∴n=1时,
∴此时λ需满足λ<-21;
综合①、②可得λ的取值范围是λ<-21。
(3)
若
则
由
即
∴
又m∈N,且m>1,
所以m=2,此时n=12,
因此,当且仅当m=2,n=12时,数列{Tn}中的
练习册系列答案
相关题目