题目内容
已知非零向量
【答案】分析:由题意可得
,可得
,而cosθ=
=
,代入可得关于λ的式子,由已知的范围可求得其范围,进而可得答案.
解答:解:由丨
-
|=|
+
|平方可得
,
即
,由向量的运算法则作出向量图,
由勾股定理可得
,
设向量
+
与
-
的夹角为θ,
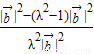
则cosθ=
=
=
=
=
,
∵λ≥2,∴λ2≥4,0<
,
∴-1<
,即-1<cosθ
,
又θ∈[0,π],所以
≤θ≤π,
故向量
+
与
-
的夹角的最小值为
故答案为:
点评:本题考查数量积表示向量的夹角,涉及向量的模长和三角函数的取值范围,属中档题.
解答:解:由丨
即
由勾股定理可得
设向量
则cosθ=
=
∵λ≥2,∴λ2≥4,0<
∴-1<
又θ∈[0,π],所以
故向量
故答案为:
点评:本题考查数量积表示向量的夹角,涉及向量的模长和三角函数的取值范围,属中档题.
练习册系列答案
相关题目