题目内容
设函数f(x)=lnx-
ax2-bx,
(1)当a=b=
时,求f(x)的最大值;
(2)令F(x)=f(x)+
ax2+bx+
,(0<x≤3),其图象上任意一点P(x0,y0)处切线的斜率k≤
恒成立,求实数a的取值范围;
(3)当a=0,b=-1,方程2mf(x)=x2有唯一实数解,求正数m的值。
(1)当a=b=
(2)令F(x)=f(x)+
(3)当a=0,b=-1,方程2mf(x)=x2有唯一实数解,求正数m的值。
解:(1)依题意,知f(x)的定义域为(0,+∞),
当
,
,
令f′(x)=0, 解得x=1,(∵x>0),
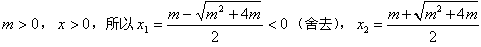
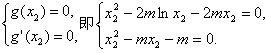
因为g(x)=0有唯一解,所以
,
当
时,
,此时f(x)单调递增;
当x>1时,
,此时f(x)单调递减,
所以f(x)的极大值为
,此即为最大值。
(2)
,
则有
上恒成立,
所以
,
当
取得最大值
,
所以a≥
;
(3)因为方程
有唯一实数解,
所以
有唯一实数解,
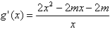
设
,
则
,
令
,
因为
,
当
上单调递减;
当
上单调递增;
当
,
则
,
所以
,
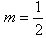
因为m>0,
所以
,(*)
设函数
,
因为当x>0时,h(x)是增函数,
所以h(x)=0至多有一解,
因为h(1)=0,
所以方程(*)的解为
,
解得
。
当
令f′(x)=0, 解得x=1,(∵x>0),
因为g(x)=0有唯一解,所以
当
当x>1时,
所以f(x)的极大值为
(2)
则有
所以
当
所以a≥
(3)因为方程
所以
设
则
令
因为
当
当
当
则
所以
因为m>0,
所以
设函数
因为当x>0时,h(x)是增函数,
所以h(x)=0至多有一解,
因为h(1)=0,
所以方程(*)的解为
解得
练习册系列答案
相关题目