题目内容
求满足下列条件的椭圆的标准方程:(1)经过点(2,-3)且与椭圆9x2+4y2=36有公共焦点;
(2)经过点A(2,
【答案】分析:(1)由椭圆9x2+4y2=36的焦点为F(0,
),设所求椭圆的方程为
,把点(2,-3)代入,得
,由此能求出椭圆方程.
(2)设所求的椭圆方程为mx2+ny2=1,(m>0,n>0,m≠n),由椭圆经过点A(2,
)和点B(
,1),知
,由此能求出椭圆方程.
解答:解:(1)∵椭圆9x2+4y2=36的焦点为F(0,
),
∴设所求椭圆的方程为
,
把点(2,-3)代入,得
,
整理,得a4-18a2+45=0,
解得a2=15,或a2=3(舍).
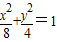
∴所求的椭圆方程为
.
(2)设所求的椭圆方程为mx2+ny2=1,(m>0,n>0,m≠n)
∵椭圆经过点A(2,
)和点B(
,1),
∴
,
解得m=
,n=
,
∴所求的椭圆方程为
.
点评:本题考查椭圆方程的求法,是基础题.解题时要认真审题,仔细解答,注意合理地进行等价转化.
(2)设所求的椭圆方程为mx2+ny2=1,(m>0,n>0,m≠n),由椭圆经过点A(2,
解答:解:(1)∵椭圆9x2+4y2=36的焦点为F(0,
∴设所求椭圆的方程为
把点(2,-3)代入,得
整理,得a4-18a2+45=0,
解得a2=15,或a2=3(舍).
∴所求的椭圆方程为
(2)设所求的椭圆方程为mx2+ny2=1,(m>0,n>0,m≠n)
∵椭圆经过点A(2,
∴
解得m=
∴所求的椭圆方程为
点评:本题考查椭圆方程的求法,是基础题.解题时要认真审题,仔细解答,注意合理地进行等价转化.
练习册系列答案
相关题目