题目内容
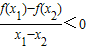
定义在R上的函数f(x)满足:对任意的x1,x2∈R(x1≠x2),有A.b<a<c
B.a<b<c
C.c<a<b
D.c<b<a
【答案】分析:函数是R上的减函数,化简a=f(
),b=f(
),c=f(-
),由此可得a、b、c的大小关系.
解答:解:∵定义在R上的函数f(x)满足:对任意的x1,x2∈R(x1≠x2),有
恒成立,
∴函数是R上的减函数.
由于a=f(log279)=f(
)=f(
),b=f((
)
)=f(
),c=f(-ln
)=f(-ln
)=f(-
),而且
>
>-
,
∴b<a<c,
故选A.
点评:本题主要考查指数型复合函数、对数型的性质以及函数的单调性的应用,判断函数是R上的减函数,是解题的关键,属于中档题.
解答:解:∵定义在R上的函数f(x)满足:对任意的x1,x2∈R(x1≠x2),有
∴函数是R上的减函数.
由于a=f(log279)=f(
∴b<a<c,
故选A.
点评:本题主要考查指数型复合函数、对数型的性质以及函数的单调性的应用,判断函数是R上的减函数,是解题的关键,属于中档题.
练习册系列答案
相关题目