题目内容
已知数列{an}满足a1=3,(1)证明数列{bn}是等差数列并求数列{bn}的通项公式;
(2)求数列{an}的前n项和Sn.
【答案】分析:(1)由
,可得
,然后检验bn+1-bn是否为常数即可证明,进而可求其通项
(2)由题意可先求an,结合数列的通项的特点,考虑利用错位相减求和即可求解
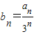
解答:解(1)证明:由
,得
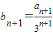
,
∴
---------------------(2分)
所以数列{bn}是等差数列,首项b1=1,公差为
-----------(4分)
∴
------------------------(6分)
(2)
-------------------------(7分)
∴Sn=a1+a2+…+an=3×1+4×3+…+(n+2)×3n-1----①
∴
-------------------②(9分)
①-②得
=2+1+3+32+…+3n-1-(n+2)×3n=
------(11分)
∴
-----------------(12分)
点评:本题主要考查了利用数列的递推公式证明等差数列,及等差数列的通项公式的应用,数列的错位相减求和方法的应用.
(2)由题意可先求an,结合数列的通项的特点,考虑利用错位相减求和即可求解
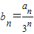
解答:解(1)证明:由
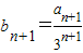
∴
所以数列{bn}是等差数列,首项b1=1,公差为
∴
(2)
∴Sn=a1+a2+…+an=3×1+4×3+…+(n+2)×3n-1----①
∴
①-②得
=2+1+3+32+…+3n-1-(n+2)×3n=
∴
点评:本题主要考查了利用数列的递推公式证明等差数列,及等差数列的通项公式的应用,数列的错位相减求和方法的应用.
练习册系列答案
相关题目