题目内容
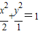
若点O和点F分别为椭圆
【答案】分析:先求出左焦点坐标F,设P(x,y),根据P(x,y)在椭圆上可得到x、y的关系式,表示出向量
、
,根据数量积的运算将x、y的关系式代入组成二次函数进而可确定答案.
解答:解:由题意,F(1,0),设点P(x,y),则有
,解得
,
因为
,
,
所以
=x(1-x)-
=
,
此二次函数对应的抛物线的对称轴为x=1,
因为-
≤x≤
,所以当x=1时,则
的最大值为
.
故答案为:
.
点评:本题考查椭圆的方程、几何性质、平面向量的数量积的坐标运算、二次函数的单调性与最值等,考查了同学们对基础知识的熟练程序以及知识的综合应用能力、运算能力.
解答:解:由题意,F(1,0),设点P(x,y),则有
因为
所以
此二次函数对应的抛物线的对称轴为x=1,
因为-
故答案为:
点评:本题考查椭圆的方程、几何性质、平面向量的数量积的坐标运算、二次函数的单调性与最值等,考查了同学们对基础知识的熟练程序以及知识的综合应用能力、运算能力.
练习册系列答案
相关题目