题目内容
等差数列{an}的各项均为正整数,a1=3,前n项和为Sn,等比数列{bn}中,b1=1,
且b2S2=64,
是公比为64的等比数列.
(1)求{an}与{bn};
(2)证明:
.
且b2S2=64,
(1)求{an}与{bn};
(2)证明:
解:(1)设{an}的公差为d,{bn}的公比为q,
则d为正整数,an=3+(n﹣1)d,bn=qn﹣1
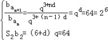
依题意有
①
由(6+d)q=64知q为正有理数,
故d为6的因子1,2,3,6之一,
解①得d=2,q=8
故an=3+2(n﹣1)=2n+1,bn=8n-1
(2)Sn=3+5++(2n+1)=n(n+2)
∴
=
=
则d为正整数,an=3+(n﹣1)d,bn=qn﹣1
依题意有
由(6+d)q=64知q为正有理数,
故d为6的因子1,2,3,6之一,
解①得d=2,q=8
故an=3+2(n﹣1)=2n+1,bn=8n-1
(2)Sn=3+5++(2n+1)=n(n+2)
∴
=
=
练习册系列答案
相关题目