题目内容
已知等差数列{an}满足:a3=7,a5+a7=26,{an}的前n项和为Sn。
(Ⅰ)求an及Sn;
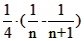
(Ⅱ)令bn=
(n∈N*),求数列{bn}的前n项和Tn。
(Ⅰ)求an及Sn;
(Ⅱ)令bn=
解:(Ⅰ)设等差数列
的公差为d,因为
,
,所以有
解得
所以
=
=
;
(Ⅱ)由(Ⅰ)知
所以bn=
=
=
所以
=
=

即数列
的前n项和
=
。
所以
(Ⅱ)由(Ⅰ)知
所以bn=
所以
=
即数列
练习册系列答案
相关题目