题目内容
已知{an}为等比数列(1)若a3=2,a6=16,求通项公式an;
(2)若a3+a6=36,a4+a7=18,an=
【答案】分析:(1)设公比为q,由a3=2,a6=16,利用等比数列通项公式求出首项和公比,由此能求出通项公式.
(2)由{an}为等比数列,a3+a6=36,a4+a7=18,利用等比数列通项公式求出公比和首项,由此能求出通项公式an,再由an=
,能求出n.
解答:解:(1)设公比为q,∵a3=2,a6=16,
∴
=2,
=16,两式相比得q=2,
所以a
.…(4分)
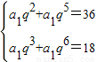
(2)∵{an}为等比数列,a3+a6=36,a4+a7=18,
∴
,解得a1=128,q=
,
∴an=128×(
)n-1=28-n.
∵an=
,∴28-n=2-1,
解得n=9.…(8分)
点评:本题考查等比数列的通项公式的应用,解题时要认真审题,仔细解答,注意等价转化思想的合理运用.
(2)由{an}为等比数列,a3+a6=36,a4+a7=18,利用等比数列通项公式求出公比和首项,由此能求出通项公式an,再由an=
解答:解:(1)设公比为q,∵a3=2,a6=16,
∴
所以a
(2)∵{an}为等比数列,a3+a6=36,a4+a7=18,
∴
∴an=128×(
∵an=
解得n=9.…(8分)
点评:本题考查等比数列的通项公式的应用,解题时要认真审题,仔细解答,注意等价转化思想的合理运用.
练习册系列答案
相关题目