题目内容
已知数列{an}的前n项的和sn=3n+1,则数列{an}的通项 .
【答案】分析:利用sn-sn-1=an(n≥2)解决此问题,注意对n=1时的检验.
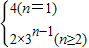
解答:解:当n=1时,a1=s1=4;
当n≥2时,an=sn-sn-1=3n+1-(3n-1+1)=3n-3n-1=2×3n-1,
∵a1不适合an=2×3n-1.
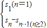
∴数列{an}的通项公式an=
.
故答案为an=
.
点评:由sn求an的问题可由关系式an=
而得.若a1满足sn-sn-1的形式,则用统一的形式表达an;若a1不满足sn-sn-1的形式,则用分段的形式表达an.
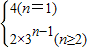
解答:解:当n=1时,a1=s1=4;
当n≥2时,an=sn-sn-1=3n+1-(3n-1+1)=3n-3n-1=2×3n-1,
∵a1不适合an=2×3n-1.
∴数列{an}的通项公式an=
故答案为an=
点评:由sn求an的问题可由关系式an=
练习册系列答案
相关题目
已知数列{an}的前n项和Sn=an2+bn(a、b∈R),且S25=100,则a12+a14等于( )
| A、16 | B、8 | C、4 | D、不确定 |