题目内容
已知函数f(x)=
ax2-(2a+1)x+2lnx(a∈R)。
(1)若曲线y=f(x)在x=1和x=3处的切线互相平行,求a的值;
(2)求f(x)的单调区间;
(3)设g(x)=x2-2x,若对任意x1∈(0,2],均存在x2∈(0,2],使得f(x1)<f(x2),求a的取值范围。
(1)若曲线y=f(x)在x=1和x=3处的切线互相平行,求a的值;
(2)求f(x)的单调区间;
(3)设g(x)=x2-2x,若对任意x1∈(0,2],均存在x2∈(0,2],使得f(x1)<f(x2),求a的取值范围。
解:
(x>0)
(1)
解得
;
(2)

①当
时,
,
在区间
上,
;
在区间
上
故
的单调递增区间是
,
单调递减区间是
②当
时,
在区间
和
上,
;
在区间
上,
故
的单调递增区间是
和
单调递减区间是
③当
时,
故
的单调递增区间是
④当
时,
在区间
和
上,
在区间
上,
故
的单调递增区间是
和
,单调递减区间是
;
(3)由已知,在
上有
由已知
,由(2)知
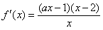
①当
时,
在
上单调递增
故
所以
解得
故
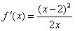
②当
时,
在
上单调递增,在
上单调递减,
故
由
可知
,
所以
,
综上所述,
。
(1)
解得
(2)
①当
在区间
在区间
故
单调递减区间是
②当
在区间
在区间
故
单调递减区间是
③当
故
④当
在区间
在区间
故
(3)由已知,在
由已知
①当
故
所以
解得
故
②当
故
由
所以
综上所述,
练习册系列答案
相关题目