题目内容
已知函数f(x)=eax-x,其中a≠0.(1)若对一切x∈R,f(x)≥1恒成立,求a的取值集合.
(2)在函数f(x)的图象上取定两点A(x1,f(x1)),B(x2,f(x2)(x1<x2),记直线AB的斜率为K,问:是否存在x∈(x1,x2),使f′(x)>k成立?若存在,求x的取值范围;若不存在,请说明理由.
【答案】分析:(1)先确定a>0,再求导函数,确定函数的单调性,可得
时,f(x)取最小值
故对一切x∈R,f(x)≥1恒成立,则
,构建新函数g(t)=t-tlnt,则g′(t)=-lnt,确定函数的单调性,求出函数的最大值,由此即可求得a的取值集合;
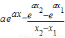
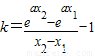
(2)由题意知,
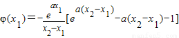
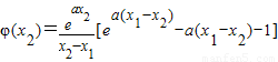
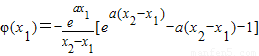
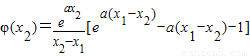
,构建新函数φ(x)=f′(x)-k=
,则
,
,构建函数F(t)=et-t-1,从而可证明φ(x1)<0,φ(x2)>0,由此即可得到存在x∈(x1,x2),使f′(x)>k成立.
解答:解:(1)若a<0,则对一切x>0,函数f(x)=eax-x<1,这与题设矛盾,
∵a≠0,∴a>0
∵f′(x)=aeax-1,令f′(x)=0,可得
令f′(x)<0,可得
,函数单调减;令f′(x)>0,可得
,函数单调增,
∴
时,f(x)取最小值
∴对一切x∈R,f(x)≥1恒成立,则
①
令g(t)=t-tlnt,则g′(t)=-lnt
当0<t<1时,g′(t)>0,g(t)单调递增;当t>1时,g′(t)<0,g(t)单调递减
∴t=1时,g(t)取最大值g(1)=1
∴当且仅当
=1,即a=1时,①成立
综上所述,a的取值集合为{1};
(2)由题意知,
令φ(x)=f′(x)-k=
,则

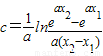
令F(t)=et-t-1,则F′(t)=et-1
当t<0时,F′(t)<0,函数单调减;当t>0时,F′(t)>0,函数单调增;
∴t≠0时,F(t)>F(0)=0,即et-t-1>0
∴
,
∵
>0,
∴φ(x1)<0,φ(x2)>0
∴存在c∈(x1,x2),φ(c)=0
∵φ′(x)单调递增,故这样的c是唯一的,且
当且仅当x∈(
,x2)时,f′(x)>k
综上所述,存在x∈(x1,x2),使f′(x)>k成立,且x的取值范围为(
,x2)
点评:本题考查导数知识的运用,考查函数的单调性与极值,考查构建新函数确定函数值的符号,从而使问题得解.
故对一切x∈R,f(x)≥1恒成立,则
(2)由题意知,
解答:解:(1)若a<0,则对一切x>0,函数f(x)=eax-x<1,这与题设矛盾,
∵a≠0,∴a>0
∵f′(x)=aeax-1,令f′(x)=0,可得
令f′(x)<0,可得
∴
∴对一切x∈R,f(x)≥1恒成立,则
令g(t)=t-tlnt,则g′(t)=-lnt
当0<t<1时,g′(t)>0,g(t)单调递增;当t>1时,g′(t)<0,g(t)单调递减
∴t=1时,g(t)取最大值g(1)=1
∴当且仅当
综上所述,a的取值集合为{1};
(2)由题意知,
令φ(x)=f′(x)-k=
令F(t)=et-t-1,则F′(t)=et-1
当t<0时,F′(t)<0,函数单调减;当t>0时,F′(t)>0,函数单调增;
∴t≠0时,F(t)>F(0)=0,即et-t-1>0
∴
∵
∴φ(x1)<0,φ(x2)>0
∴存在c∈(x1,x2),φ(c)=0
∵φ′(x)单调递增,故这样的c是唯一的,且
当且仅当x∈(
综上所述,存在x∈(x1,x2),使f′(x)>k成立,且x的取值范围为(
点评:本题考查导数知识的运用,考查函数的单调性与极值,考查构建新函数确定函数值的符号,从而使问题得解.
练习册系列答案
相关题目