题目内容
已知函数f(n)=
【答案】分析:先求出通项公式an,然后两项一组,求数列的前100项的和
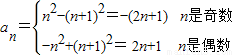
解答:解:∵an=f(n)+f(n+1)
∴由已知条件知,
∴
∴an+an+1=2(n是奇数)
∴a1+a2+a3+…+a100=(a1+a2)+(a3+a4)+…+(a99+a100)=2+2+2+…+2=100
故答案为:100
点评:本题考查数列的通项公式的求法和前n项和的求法,须注意对通项公式和问题的灵活变形.属简单题
解答:解:∵an=f(n)+f(n+1)
∴由已知条件知,
∴
∴an+an+1=2(n是奇数)
∴a1+a2+a3+…+a100=(a1+a2)+(a3+a4)+…+(a99+a100)=2+2+2+…+2=100
故答案为:100
点评:本题考查数列的通项公式的求法和前n项和的求法,须注意对通项公式和问题的灵活变形.属简单题
练习册系列答案
相关题目
已知函数f(n)=n2cos(nπ),且an=f(n)+f(n+1),则a1+a2+a3+…+a100=( )
| A、0 | B、-100 | C、100 | D、10200 |