题目内容
已知函数f(x)=sin(wx+(1)求ω的值及f(x)
(2)若a∈(-
【答案】分析:(1)由函数图象上相邻的两个最低点间的距离为2π,可得其周期为2π,进而可求w,可得解析式;
(2)由题意可得cos(a+
)=
,通过三角函数公式可求其正弦值,而sin(2a+
)=2sin(
)cos(
),代值可求.
解答:解:(1)因为函数f(x)=sin(wx+
)(w>0),图象上相邻的两个最低点间的距离为2π.
所以函数的周期为2π,由T=
=2π,可得w=1,
故f(x)=sin(x+
)=cosx
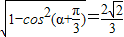
(2)由(1)可知f(x)=cosx,可得cos(a+
)=
,又a∈(-
,
),所以
∈(0,
)
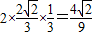
所以sin(
)=
,
所以sin(2α+
)=2sin(
)cos(
)=
点评:本题为三角函数的基本运算,把图象问题转化为式子的运算和交点整体运用是解决问题的关键,属中档题.
(2)由题意可得cos(a+
解答:解:(1)因为函数f(x)=sin(wx+
所以函数的周期为2π,由T=
故f(x)=sin(x+
(2)由(1)可知f(x)=cosx,可得cos(a+
所以sin(
所以sin(2α+
点评:本题为三角函数的基本运算,把图象问题转化为式子的运算和交点整体运用是解决问题的关键,属中档题.
练习册系列答案
相关题目