题目内容
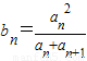
已知等比数列{an}的公比为2,前n项和为Sn.记数列{bn}的前n项和为Tn,且满足
【答案】分析:先确定数列{bn}的通项,即可求得结论.
解答:解:∵等比数列{an}的公比为2,
∴
=
an,
∴
=
=3
故答案为:3.
点评:本题考查等比数列的通项,考查学生的计算能力,属于基础题.
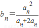
解答:解:∵等比数列{an}的公比为2,
∴
∴
故答案为:3.
点评:本题考查等比数列的通项,考查学生的计算能力,属于基础题.
练习册系列答案
相关题目