搜索
题目内容
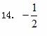
某
程序框图如图所示,该程序运行后输出的
的值是
。
试题答案
相关练习册答案
练习册系列答案
通城学典计算能手系列答案
同步奥数培优系列答案
同步测试天天向上系列答案
同步课时精练系列答案
创新作业同步练习系列答案
同步练习浙江教育出版社系列答案
同步训练与单元测试系列答案
同步训练与期中期末闯关系列答案
同步训练与中考闯关系列答案
阶梯训练系列答案
相关题目
某程序框图如图所示,则该程序框图运行后输出的结果是( )
A、
3
4
B、
4
3
C、
8
3
D、
3
8
若某程序框图如图所示,则该程序运行后输出的值是( )
A.8
B.9
C.10
D.11
已知某程序框图如图所示,则执行该程序后输出的结果是
1
2
1
2
.
(2013•浙江二模)某程序框图如图所示,该程序运行后输出的值是
16
16
.
若某程序框图如图所示,则该程序运行后输出的值是
.
关 闭
试题分类
高中
数学
英语
物理
化学
生物
地理
初中
数学
英语
物理
化学
生物
地理
小学
数学
英语
其他
阅读理解答案
已回答习题
未回答习题
题目汇总
试卷汇总
练习册解析答案