题目内容
中心在原点,焦点在x轴上,若长轴的长为18,且两个焦点恰好将长轴三等分,则此椭圆方程为 .
【答案】分析:根据题意,2a=18,且2c=
•2a=6,可得a=9且c=3,再根据椭圆中a、b、c的平方关系得到b2的值,结合椭圆焦点在x轴,得到此椭圆的标准方程.
解答:解:椭圆长轴的长为18,即2a=18,得a=9
∵两个焦点恰好将长轴三等分,
∴2c=
•2a=6,得c=3
因此,b2=a2-c2=81-9=72,再结合椭圆焦点在x轴上,
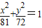
可得此椭圆方程为
故答案为:
点评:本题给出椭圆的长轴长和焦点的位置,求椭圆的标准方程,着重考查了椭圆的基本概念和标准方程等知识,属于基础题.
解答:解:椭圆长轴的长为18,即2a=18,得a=9
∵两个焦点恰好将长轴三等分,
∴2c=
因此,b2=a2-c2=81-9=72,再结合椭圆焦点在x轴上,
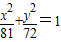
可得此椭圆方程为
故答案为:
点评:本题给出椭圆的长轴长和焦点的位置,求椭圆的标准方程,着重考查了椭圆的基本概念和标准方程等知识,属于基础题.
练习册系列答案
相关题目
A、{x|-
| ||||||||
B、{x|-2≤x<-
| ||||||||
C、{x|-2≤x<-
| ||||||||
D、{x|-
|
A、{
| ||||||||
B、{x|-2≤x<
| ||||||||
C、{x|-
| ||||||||
D、{x|-
|