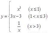
题目内容

执行右图所示的程序框图,若要使输入的x值与输出的y值相等,则这样的x值的个数是(    )

A.1     B.2    C.3  D.4

 

【答案】

D

【解析】

试题分析:由程序框图可知,这是一个求分段函数的函数值问题,且,若要使输入的值与输出的值相等,则这样的值为,共四个,故选D.

考点:算法框图,方程的解.

 

练习册系列答案
相关题目

违法和不良信息举报电话:027-86699610 举报邮箱:58377363@163.com

精英家教网