题目内容
已知函数f(x)=Asin(ωx+φ),x∈R(其中A>0,ω>0,0<φ<
)的周期为π,且图象上一个最低点为M(
,-2)。
(1)求f(x)的解析式;
(2)当 x∈
,求f(x)的最值。
(1)求f(x)的解析式;
(2)当 x∈
解:(1)由最低点为
得
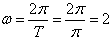
由
得
由点
在图像上得
即
∴
即
又
,
∴
∴
。
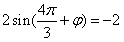
(2)∵
∴
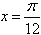
∴当
,即
时,
取得最小值1;
当
,即
时,f(x)取得最大值
。
由
由点
即
∴
又
∴
∴
(2)∵
∴
∴当
当
练习册系列答案
相关题目