题目内容
已知数列{an}满足:
,2an+1=anan+1+1
(Ⅰ)求a2,a3,a4;
(Ⅱ)猜想数列{an}的通项公式,并证明你的结论;
(Ⅲ)已知数列{bn}满足:anbn=1﹣an,Sn为数列{bn}的前n项和,证明:S1+S2+…+Sn﹣1=n(Sn﹣1)
(Ⅰ)求a2,a3,a4;
(Ⅱ)猜想数列{an}的通项公式,并证明你的结论;
(Ⅲ)已知数列{bn}满足:anbn=1﹣an,Sn为数列{bn}的前n项和,证明:S1+S2+…+Sn﹣1=n(Sn﹣1)
(Ⅰ)解:∵数列{an}满足:
,2an+1=anan+1+1
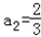
∴n=1时,2a2=a1a2+1,∴
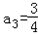
n=2时,2a3=a2a3+1,∴
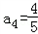
n=3时,2a4=a3a4+1,∴
;
(Ⅱ)猜想数列{an}的通项公式
,
证明:①当n=1,2,3,4时,由(Ⅰ)知结论成立;
②假设n=k时,结论成立,即
,则n=k+1时,∴2an+1=anan+1+1
∴
=
即n=k+1时,结论成立
由①②可知
;
(Ⅲ)解:由anbn=1﹣an,可得
∴S1+S2+…+Sn﹣1=(n﹣1)+
=n+
+…+
﹣1×(n﹣1)
=n(1+
+…+
﹣1)
=n(Sn﹣1)
∴n=1时,2a2=a1a2+1,∴
n=2时,2a3=a2a3+1,∴
n=3时,2a4=a3a4+1,∴
(Ⅱ)猜想数列{an}的通项公式
证明:①当n=1,2,3,4时,由(Ⅰ)知结论成立;
②假设n=k时,结论成立,即
∴
即n=k+1时,结论成立
由①②可知
(Ⅲ)解:由anbn=1﹣an,可得
∴S1+S2+…+Sn﹣1=(n﹣1)+
=n+
=n(1+
=n(Sn﹣1)
练习册系列答案
相关题目