题目内容
已知函数(1)求m、n的值;
(2)若将函数y=f(x),x∈R的图象按向量
【答案】分析:(1)先利用辅助角公式进行化简整理,然后讨论m的正负,根据x的范围建立方程组,从而可求出所求;
(2)根据(1)分别求出函数的对称中心,从而可求出向量
的坐标.
解答:解:(1)
+m+n,


,(4分)
1°若m>0,则f(x)max=
,f(x)min=-m+n=-5
解得m=3,n=-2,(6分)
2°若m<0,则f(x)max=-m+n=4,f(x)min=
解得m=-3,n=1,(8分)
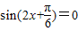
(2)令
,解得
,(10分)
1°当m=3,n=-2时,
,
(12分)
2°当m=-3,n=1时,
,
(14分)
点评:本题主要考查了三角函数中的恒等变换应用,以及平面向量坐标表示的应用,同时考查了分类讨论的数学思想和计算能力,属于中档题.
(2)根据(1)分别求出函数的对称中心,从而可求出向量
解答:解:(1)
1°若m>0,则f(x)max=
解得m=3,n=-2,(6分)
2°若m<0,则f(x)max=-m+n=4,f(x)min=
解得m=-3,n=1,(8分)
(2)令
1°当m=3,n=-2时,
2°当m=-3,n=1时,
点评:本题主要考查了三角函数中的恒等变换应用,以及平面向量坐标表示的应用,同时考查了分类讨论的数学思想和计算能力,属于中档题.
练习册系列答案
相关题目