题目内容
(1)确定函数f(x)的解析式;
(2)用定义证明f(x)在(-1,1)上是增函数.
【答案】分析:(1)根据
是定义在(-1,1)上的函数,其图象过原点,且
,建立方程,即可求得函数f(x)的解析式;
(2)先在(-1,1)上任取两个自变量,然后利用做差法比较对应函数值的大小即可
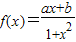
解答:(1)解:∵
是定义在(-1,1)上的函数,其图象过原点,且
.
∴b=0,
=
∴b=0,a=1
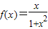
∴
(x∈(-1,1))
(2)证明:任取x1,x2使-1<x1<x2<1
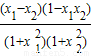
f(x1)-f(x2)=
-
=
∵-1<x1<x2<1,∴x1-x2<0;1-x1x2>0;
∴
f(x1)-f(x2)<0
∴f(x1)<f(x2)
∴f(x)在(-1,1)上是增函数;
点评:本题考查函数的解析式的求法,考查函数的单调性,正确运用单调性的定义是关键.
(2)先在(-1,1)上任取两个自变量,然后利用做差法比较对应函数值的大小即可
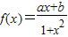
解答:(1)解:∵
∴b=0,
∴b=0,a=1
∴
(2)证明:任取x1,x2使-1<x1<x2<1
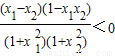
f(x1)-f(x2)=
∵-1<x1<x2<1,∴x1-x2<0;1-x1x2>0;
∴
f(x1)-f(x2)<0
∴f(x1)<f(x2)
∴f(x)在(-1,1)上是增函数;
点评:本题考查函数的解析式的求法,考查函数的单调性,正确运用单调性的定义是关键.
练习册系列答案
相关题目