题目内容
已知双曲线A.2
B.4
C.2
D.4
【答案】分析:利用离心率公式,建立方程,即可求得双曲线的实轴长.
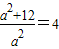
解答:解:由题意,
,∴a=2,∴2a=4,即双曲线的实轴长为4
故选B.
点评:本题考查双曲线的性质,考查学生的计算能力,属于基础题.
解答:解:由题意,
故选B.
点评:本题考查双曲线的性质,考查学生的计算能力,属于基础题.
练习册系列答案
相关题目
已知双曲线
-
=1(a>0,b>0),过其左焦点F1作x轴的垂线交双曲线于A、B两点,若双曲线右顶点在以AB为直径的圆内,则双曲线离心离的取值范围为( )
| x2 |
| a2 |
| y2 |
| b2 |
| A、(2,+∞) | ||
| B、(1,2) | ||
C、(
| ||
D、(1,
|