题目内容
已知a>0,函数
,
.
(Ⅰ)当a=3时,求曲线y=f(x)在点(3,f(3))处的切线方程;
(Ⅱ)若
恒成立,求实数a的取值范围.
(Ⅰ)当a=3时,求曲线y=f(x)在点(3,f(3))处的切线方程;
(Ⅱ)若
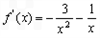
解:(Ⅰ)当a=3时,
∴
,
,
又
,
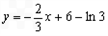
∴曲线y=f(x)在点
处的切线方程为:
,
即:
.
(Ⅱ)由
得
①当
时
,
,
∴f(x)在
上递减,
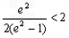
∴
,∴
,此时a不存在;
②当
时若
时,
由①得f(x)在
上递减,
∴
∴
,此时
若
时
,∴
令f′(x)=0得x=a,
又
在(0,2)递增,
故
∴
,
当
时
,∴f(x)在
递增,
∴
,
,∴
,
又
,∴
综上知,实数a的取值范围
∴
又
∴曲线y=f(x)在点
即:
(Ⅱ)由
①当
∴f(x)在
∴
②当
由①得f(x)在
∴
若
令f′(x)=0得x=a,
又
故
当
∴
又
综上知,实数a的取值范围
练习册系列答案
相关题目
已知a>0,函数f(x)=ax2+bx+c,若x0满足关于x的方程2ax+b=0,则下列选项的命题中为假命题的是( )
| A、?x∈R,f(x)≤f(x0) | B、?x∈R,f(x)≥f(x0) | C、?x∈R,f(x)≤f(x0) | D、?x∈R,f(x)≥f(x0) |
已知a>0,函数f(x)=(x2-2ax)ex的最小值所在区间是( )
A、(-∞,a-1-
| ||
B、(a-1-
| ||
| C、(0,2a) | ||
| D、(2a,+∞) |