题目内容
已知数列{an}满足a1=1,且A.an=
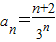
B.an=
C.an=n+2
D.an=(n+2)3n
【答案】分析:由题意及足a1=1,且
,且n∈N*),则构造新的等差数列进而求解.
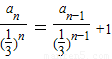
解答:解:因为
,且n∈N*)?
,
即
,则数列{bn}为首项
,公差为1的等差数列,
所以bn=b1+(n-1)×1=3+n-1=n+2,所以
,
故答案为:B
点评:此题考查了构造新的等差数列,等差数列的通项公式.
解答:解:因为
即
所以bn=b1+(n-1)×1=3+n-1=n+2,所以
故答案为:B
点评:此题考查了构造新的等差数列,等差数列的通项公式.
练习册系列答案
相关题目