题目内容
已知各项均为正数的数列{an}前n项和为Sn,首项为a1,且(1)求数列{an}的通项公式;
(2)若an2=(
【答案】分析:(Ⅰ)由题意知
,当n=1时,得a1=
;当n≥2时,
,两式相减得an=Sn-Sn-1=2an-2an-1,由此能求出数列{an}的通项公式.
(Ⅱ)由
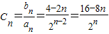
,知bn=4-2n,故
,由此利用错位相减法能求出数列{cn}的前n项和Tn.
解答:(本小题满分12分)
解:(Ⅰ)由题意知
,…(1分)
当n=1时,2a1=a1+
,解得a1=
,
当n≥2时,
,
两式相减得an=Sn-Sn-1=2an-2an-1…(3分)
整理得:
…(4分)
∴数列{an}是以
为首项,2为公比的等比数列.
∴
.…(5分)
(Ⅱ)
∴bn=4-2n,…(6分)
∴
…①
…②
①-②得
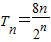
…(9分)
=
.…(11分)
∴
.…(12分)
点评:本题考查数列的通项公式和前n项和公式的求法,解题时要认真审题,仔细解答,注意迭代法和错位相减法的合理运用.
(Ⅱ)由
解答:(本小题满分12分)
解:(Ⅰ)由题意知
当n=1时,2a1=a1+
当n≥2时,
两式相减得an=Sn-Sn-1=2an-2an-1…(3分)
整理得:
∴数列{an}是以
∴
(Ⅱ)
∴bn=4-2n,…(6分)
∴
①-②得
∴
点评:本题考查数列的通项公式和前n项和公式的求法,解题时要认真审题,仔细解答,注意迭代法和错位相减法的合理运用.
练习册系列答案
相关题目