题目内容

已知函数f(x)=ax﹣1n(1+x2

(1)当时,求函数f(x)在(0,+∞)上的极值;

(2)证明:当x>0时,1n(1+x2)<x;

(3)证明:,其中e为自然对数的底数)

考点:

函数在某点取得极值的条件;利用导数研究函数的单调性.

专题:

综合题;导数的综合应用.

分析:

(1)当时,先求出f′(x)==,再由f′(x)=0,得,x2=2,由此能求出当时,求函数f(x)在(0,+∞)上的极值.

(2)令g(x)=x﹣ln(1+x2),=≥0,故g(x)在(0,+∞)上是增函数,由此能够证明当x>0时,1n(1+x2)<x.

(3)由ln(x2+1)<x,取x=,…,,能够证明,其中e为自然对数的底数).

解答:

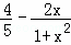
(1)解:当时,f(x)=

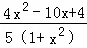
∴f′(x)==

由f′(x)=0,得,x2=2,

∵f(x)在(0,)上递增,在(,2)递减,在(2,+∞)递增,

∴f(x)极大值为f()=,f(x)极小值为f(2)=

(2)证明:令g(x)=x﹣ln(1+x2),

=≥0,

∴g(x)在(0,+∞)上是增函数,

∴g(x)>g(0)=0,

∴ln(1+x2)<x.

(3)证明:由(2)得ln(x2+1)<x,

取x=,…,

∴ln(1+)+ln(1+)+…+ln(1+

++…+

=(1﹣)+()+…+(

=1﹣<1,

,其中e为自然对数的底数).

点评:

本题考查函数的极值的求法,考查不等式的证明,综合性强,难度大,具有一定的探索性,解题时要认真审题,仔细解答,注意等价转化思想和分类讨论思想的合理运用.

练习册系列答案
相关题目

违法和不良信息举报电话:027-86699610 举报邮箱:58377363@163.com

精英家教网