题目内容
设函数f(x)=ex-ax-2(Ⅰ)求f(x)的单调区间
(Ⅱ)若a=1,k为整数,且当x>0时,(x-k) f´(x)+x+1>0,求k的最大值.
【答案】分析:(Ⅰ)求函数的单调区间,可先求出函数的导数,由于函数中含有字母a,故应按a的取值范围进行分类讨论研究函数的单调性,给出单调区间;
(II)由题设条件结合(I),将不等式,(x-k) f´(x)+x+1>0在x>0时成立转化为k<
(x>0)成立,由此问题转化为求g(x)=
在x>0上的最小值问题,求导,确定出函数的最小值,即可得出k的最大值;
解答:解:(I)函数f(x)=ex-ax-2的定义域是R,f′(x)=ex-a,
若a≤0,则f′(x)=ex-a≥0,所以函数f(x)=ex-ax-2在(-∞,+∞)上单调递增.
若a>0,则当x∈(-∞,lna)时,f′(x)=ex-a<0;当x∈(lna,+∞)时,f′(x)=ex-a>0;所以,f(x)在(-∞,lna)单调递减,在(lna,+∞)上单调递增.
(II)由于a=1,所以,(x-k) f´(x)+x+1=(x-k) (ex-1)+x+1
故当x>0时,(x-k) f´(x)+x+1>0等价于k<
(x>0)①
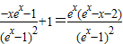
令g(x)=
,则g′(x)=
由(I)知,函数h(x)=ex-x-2在(0,+∞)上单调递增,而h(1)<0,h(2)>0,所以h(x)=ex-x-2在(0,+∞)上存在唯一的零点,故g′(x)在(0,+∞)上存在唯一的零点,设此零点为α,则有α∈(1,2)
当x∈(0,α)时,g′(x)<0;当x∈(α,+∞)时,g′(x)>0;所以g(x)在(0,+∞)上的最小值为g(α).又由g′(α)=0,可得eα=α+2所以g(α)=α+1∈(2,3)
由于①式等价于k<g(α),故整数k的最大值为2
点评:本题考查利用导数求函数的最值及利用导数研究函数的单调性,解题的关键是第一小题应用分类的讨论的方法,第二小题将问题转化为求函数的最小值问题,本题考查了转化的思想,分类讨论的思想,考查计算能力及推理判断的能力,综合性强,是高考的重点题型,难度大,计算量也大,极易出错.
(II)由题设条件结合(I),将不等式,(x-k) f´(x)+x+1>0在x>0时成立转化为k<
解答:解:(I)函数f(x)=ex-ax-2的定义域是R,f′(x)=ex-a,
若a≤0,则f′(x)=ex-a≥0,所以函数f(x)=ex-ax-2在(-∞,+∞)上单调递增.
若a>0,则当x∈(-∞,lna)时,f′(x)=ex-a<0;当x∈(lna,+∞)时,f′(x)=ex-a>0;所以,f(x)在(-∞,lna)单调递减,在(lna,+∞)上单调递增.
(II)由于a=1,所以,(x-k) f´(x)+x+1=(x-k) (ex-1)+x+1
故当x>0时,(x-k) f´(x)+x+1>0等价于k<
令g(x)=
由(I)知,函数h(x)=ex-x-2在(0,+∞)上单调递增,而h(1)<0,h(2)>0,所以h(x)=ex-x-2在(0,+∞)上存在唯一的零点,故g′(x)在(0,+∞)上存在唯一的零点,设此零点为α,则有α∈(1,2)
当x∈(0,α)时,g′(x)<0;当x∈(α,+∞)时,g′(x)>0;所以g(x)在(0,+∞)上的最小值为g(α).又由g′(α)=0,可得eα=α+2所以g(α)=α+1∈(2,3)
由于①式等价于k<g(α),故整数k的最大值为2
点评:本题考查利用导数求函数的最值及利用导数研究函数的单调性,解题的关键是第一小题应用分类的讨论的方法,第二小题将问题转化为求函数的最小值问题,本题考查了转化的思想,分类讨论的思想,考查计算能力及推理判断的能力,综合性强,是高考的重点题型,难度大,计算量也大,极易出错.
练习册系列答案
相关题目