题目内容

在三棱柱种侧棱垂直于底面,,且三棱柱的体积为3,则三棱柱的外接球的表面积为           .

 

【答案】

【解析】

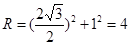
试题分析:依题意,,解得,记该三棱柱的外接球球心为,求半径为,则球心应是上、下底面的外心连线的中点,则有,于是该三棱柱的外接球的表面积.

考点:三棱柱的体积与球的表面积.

 

练习册系列答案
相关题目

违法和不良信息举报电话:027-86699610 举报邮箱:58377363@163.com

精英家教网