题目内容
数列{an}的前n项和为Sn,已知a1=
,Sn=n2an-n(n-1),n=1,2,…
(Ⅰ)写出Sn与Sn-1的递推关系式(n≥2),并求Sn关于n的表达式;
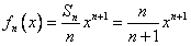
(Ⅱ)设fn(x)=
xn+1,bn=fn′(p)(p∈R),求数列{bn}的前n项和Tn。
(Ⅰ)写出Sn与Sn-1的递推关系式(n≥2),并求Sn关于n的表达式;
(Ⅱ)设fn(x)=
解:(Ⅰ)由
(n≥2)得:
,
即
,
所以
,对(n≥2)成立。
由
,
,…,
相加得:
,
又
,
所以
,当n=1时,也成立。
(Ⅱ)由
,得
,
而
,
,
。
即
所以
由
又
所以
(Ⅱ)由
而
练习册系列答案
相关题目