题目内容
若函数
为奇函数,且
,则
;
.
【答案】
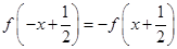
;![]()
【解析】
试题解析:
为奇函数,所以
,所以
,
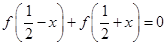
,![]()
,![]()
![]()
![]()
,
.
考点:1.函数的解析式;2.倒序相加法
练习册系列答案
相关题目
若函数
为奇函数,且当
则
的值是( )
| A. | B. | C. | D. |
题目内容
若函数
为奇函数,且
,则
;
.
;![]()
【解析】
试题解析:
为奇函数,所以
,所以
,
,![]()
,![]()
![]()
![]()
,
.
考点:1.函数的解析式;2.倒序相加法
若函数
为奇函数,且当
则
的值是( )
| A. | B. | C. | D. |