题目内容
已知数列{an}的前n项和为Sn,Sn=
(an-1)(n∈N*),
(Ⅰ)求a1,a2;
(Ⅱ)求证数列{an}是等比数列。
(Ⅰ)求a1,a2;
(Ⅱ)求证数列{an}是等比数列。
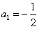
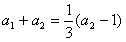
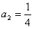
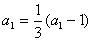
解:(Ⅰ)由
,得
,
∴
,
又
,即
,
得
。
(Ⅱ)当n>1时,
,得
,
所以{an}是首项为
,公比为
的等比数列。
∴
又
得
(Ⅱ)当n>1时,
所以{an}是首项为
练习册系列答案
相关题目
已知数列{an}的前n项和Sn=an2+bn(a、b∈R),且S25=100,则a12+a14等于( )
| A、16 | B、8 | C、4 | D、不确定 |