题目内容
设数列{an}满足an=2an-1+1(n≥2),且a1=1,bn=log2(an+1)(1)求数列{an}的通项公式;
(2)设数列{
【答案】分析:(1)由已知可得an+1=2(an-1+1),数列{an+1}是以a1+1=2为首项,以2为公比的等比数列,即可求数列{an}的通项公式;
(2)先求bn,代入,再利用裂项求和方法即可证明.
解答:(1)解:因为an=2an-1+1(n≥2),所以an+1=2(an-1+1)(n≥2),
所以数列{an+1}是以a1+1=2为首项,以2为公比的等比数列.
所以an+1=2•2n-1=2n.
所以an=2n-1…(4分)
(2)证明:因为an=2n-1,所以bn=log2(an+1)=n…(6分)
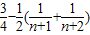
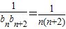
所以
=
(
).…(8分)
所以Sn=
(
…+
+
)=
=
<
.…(12分)
点评:本题主要考查了等比数列的判断与证明,等比数列的通项公式及裂项求和方法的应用,属于中档题.
(2)先求bn,代入,再利用裂项求和方法即可证明.
解答:(1)解:因为an=2an-1+1(n≥2),所以an+1=2(an-1+1)(n≥2),
所以数列{an+1}是以a1+1=2为首项,以2为公比的等比数列.
所以an+1=2•2n-1=2n.
所以an=2n-1…(4分)
(2)证明:因为an=2n-1,所以bn=log2(an+1)=n…(6分)
所以
所以Sn=
=
点评:本题主要考查了等比数列的判断与证明,等比数列的通项公式及裂项求和方法的应用,属于中档题.
练习册系列答案
相关题目
设数列{an}满足a1=1,a2+a4=6,且对任意n∈N*,函数f(x)=(an-an+1+an+2)x+an+1?cosx-an+2sinx满足f′(
)=0若cn=an+
,则数列{cn}的前n项和Sn为( )
| π |
| 2 |
| 1 |
| 2an |
A、
| ||||
B、
| ||||
C、
| ||||
D、
|