题目内容
已知z,ω为复数,i为虚数单位,(1+3i)•z为纯虚数,ω=
【答案】分析:设z=a+bi(a,b∈R),利用复数的运算及(1+3i)•z=(1+3i)(a+bi)=a-3b+(3a+b)i为纯虚数,可得
.
又ω=
,|ω|=
,可得
.即可得出a,b.
解答:解:设z=a+bi(a,b∈R),∵(1+3i)•z=(1+3i)(a+bi)=a-3b+(3a+b)i为纯虚数,∴
.
又ω=
=
=
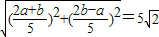
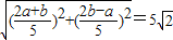
,|ω|=
,∴
.
把a=3b代入化为b2=25,解得b=±5,∴a=±15.
∴ω=±
=±(7-i).
故答案为±(7-i).
点评:熟练掌握复数的运算法则、纯虚数的定义及其模的计算公式即可得出.
又ω=
解答:解:设z=a+bi(a,b∈R),∵(1+3i)•z=(1+3i)(a+bi)=a-3b+(3a+b)i为纯虚数,∴
又ω=
把a=3b代入化为b2=25,解得b=±5,∴a=±15.
∴ω=±
故答案为±(7-i).
点评:熟练掌握复数的运算法则、纯虚数的定义及其模的计算公式即可得出.
练习册系列答案
相关题目