题目内容
已知数列{an}的前n项和为Sn,首项为a1,且1,an,Sn成等差数列。
(1)求数列{an}的通项公式;
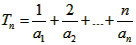
(2)设Tn为数列{
}的前n项和,若对于其中n∈N*,总有
成立,其中m∈N*,求m的最小值。
(1)求数列{an}的通项公式;
(2)设Tn为数列{
解:(Ⅰ)由题意知
,
当n=1时,2a1=a1+1,∴a1=1,
当n≥2时,Sn=2an-1,Sn-1=2an-1-1,
两式相减得
,
整理得
,
∴数列{an}是以1为首项,2为公比的等比数列,
∴
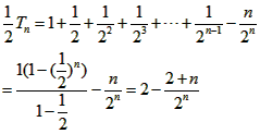
(Ⅱ)

两式相减

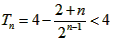
∴
∵对于一切n∈N*,有
成立,即只需
,即
,
∴m的最小值为16。
当n=1时,2a1=a1+1,∴a1=1,
当n≥2时,Sn=2an-1,Sn-1=2an-1-1,
两式相减得
整理得
∴数列{an}是以1为首项,2为公比的等比数列,
∴
(Ⅱ)
两式相减
∴
∵对于一切n∈N*,有
∴m的最小值为16。
练习册系列答案
相关题目
已知数列{an}的前n项和Sn=an2+bn(a、b∈R),且S25=100,则a12+a14等于( )
| A、16 | B、8 | C、4 | D、不确定 |