题目内容

已知是曲线C:上的一点(其中),过点作与曲线C在处的切线垂直的直线轴于点,过作与轴垂直的直线与曲线C在第一象限交于点;再过点作与曲线C在处的切线垂直的直线交轴于点,过作与轴垂直的直线与曲线C在第一象限交于点;如此继续下去,得一系列的点、、、。(其中

(1)求数列的通项公式。

(2)若,且是数列的前项和,是数列的前

 

【答案】

(1).(2)详见解析.

【解析】

试题分析:(1)根据条件先找出数列中相邻项间的关系,即递推公式,然后利用递推公式求通项公式.

(2)由(1)可得,由此可求出

 这个数列的和就不可能求出来了,怎么办?一般地,不能求和,就先放缩.

,将此不等式平方再相加,右边就属于等差数列的和,用公式即可求出它的和.

试题解析:(1)由,求导有           1分

所以

,得,所以

                               4分

,得,即

                              6分

(2)∵

            7分

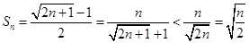
=

=                                            8分

=

<                                                      10分

∴                                                     11分

∴                              12分

考点:数列与不等式.

 

练习册系列答案
相关题目

违法和不良信息举报电话:027-86699610 举报邮箱:58377363@163.com

精英家教网