题目内容
已知
是正实数,设函数
。
(Ⅰ)设
,求
的单调区间;
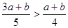
(Ⅱ)若存在
,使
且
成立,求
的取值范围。
【答案】
(Ⅰ)
在
上单调递减,在
上单调递增;(Ⅱ)
.
【解析】
试题分析:(Ⅰ)首先求得函数
的解析式,然后求导,根据导数的正负求函数的单调区间;(Ⅱ)本小题首先考虑把
化为使
,即存在
,使
时
,所以只需
即可,于是利用导数分析单调性然后求在区间上的最小值.
试题解析:(Ⅰ)由
可得![]()
由
得![]()
在
上单调递减,在
上单调递增
(Ⅱ)由
得![]()
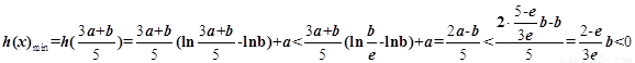
①当
,即
时
![]()
由
得![]()
![]()
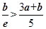
②当
时,![]()
在
上单调递增
![]()
所以不成立 12分
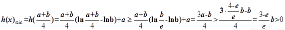
③当
,即
时,![]()
在
上单调递减
![]()
当
时恒成立
14分
综上所述,
15分
考点:1.导数判断单调性;2.函数的最值;3.分类讨论.
练习册系列答案
相关题目
已知a,b是正实数,设函数f(x)=xlnx,g(x)=-a+xlnb.
(Ⅰ)设h(x)=f(x)-g(x),求h(x)的单调区间;
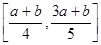
(Ⅱ)若存在x,使x∈[
,
]且f(x)≤g(x)成立,求
的取值范围.
(Ⅰ)设h(x)=f(x)-g(x),求h(x)的单调区间;
(Ⅱ)若存在x,使x∈[