题目内容

设公差为的等差数列的前项和为,若,则当取最大值时,的值为        .

 

【答案】

9

【解析】

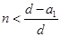
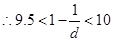
试题分析:因为等差数列的公差满足,所以是递减数列.又.为负数. ,即,.,,.即时,.所以当时,取最大值.

考点:等差数列的性质、等差数列的前n项和

 

练习册系列答案
相关题目

违法和不良信息举报电话:027-86699610 举报邮箱:58377363@163.com

精英家教网