题目内容
已知函数(I)求函数f(x)的单调区间;
(II)已知点
【答案】分析:(I)f(x)的定义域是(0,+∞),对f(x)进行求导,利用导数研究函数f(x)的单调区间;
(II)假设存在满足条件的点M,根据A在曲线C上,求出直线AB的斜率,根据导数与斜率的关系KAB=f′(x),对其进行化简,从而进行判断;
解答:解:(I)f(x)的定义域是(0,+∞),
f′(x)=
-ax=
,
①当a<0时,f′(x)>0,f(x)在(0,+∞)上单调递减,
当a>0时,由f′(x)>0和x>0得0<x<
f(x)在(0,
)内单调递增,
由f′(x)<0和x>0得x>
,f(x)在(
,+∞)内单调递减,
综上所述:当a>0时,f(x)的单调增区间是(0,
),单调递减区间是(
,+∞);
(II)假设存在满足条件的点M,
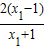
∵A在曲线C上,∴KAB=
=
,
f′(x)=
-ax,
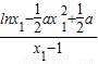
∴f′(x)=f′(
)=
-a•
,由已知KAB=f′(x),
∴
=
,
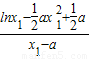
化简整理可得lnx1=
=2-
,
即lnx1+
>2
∴lnx1+
>2
∴lnx1=2-
不成立,即满足条件的点M是不存在的;
点评:此题主要考查利用导数研究函数的单调性,以及导数与斜率的关系,第二问是存在性问题,难度有些大,此题是一道中档题;
(II)假设存在满足条件的点M,根据A在曲线C上,求出直线AB的斜率,根据导数与斜率的关系KAB=f′(x),对其进行化简,从而进行判断;
解答:解:(I)f(x)的定义域是(0,+∞),
f′(x)=
①当a<0时,f′(x)>0,f(x)在(0,+∞)上单调递减,
当a>0时,由f′(x)>0和x>0得0<x<
f(x)在(0,
由f′(x)<0和x>0得x>
综上所述:当a>0时,f(x)的单调增区间是(0,
(II)假设存在满足条件的点M,
∵A在曲线C上,∴KAB=
f′(x)=
∴f′(x)=f′(
∴
化简整理可得lnx1=
即lnx1+
∴lnx1+
∴lnx1=2-
点评:此题主要考查利用导数研究函数的单调性,以及导数与斜率的关系,第二问是存在性问题,难度有些大,此题是一道中档题;
练习册系列答案
相关题目