题目内容
各项都为正数的无穷等比数列
,满足
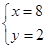
且
是增广矩阵
的线性方程组
的解,则无穷等比数列
各项和的数值是 _________.
【答案】
32
【解析】
试题分析:本题增广矩阵的线性方程组为
,其解为
,即
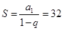
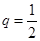
,因此
,
,故无穷递缩等比数列
的和为
.
考点:无穷递缩等比数列的和.
练习册系列答案
相关题目