搜索
题目内容
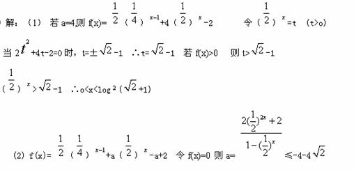
设函数f(X)=
(
)
+a
(
)
-a+2
(1) 若a=4,解不等式f(X)﹥0;
(2) 若方程f(X)=0有负数根,求a的取值范围
试题答案
相关练习册答案
练习册系列答案
总复习测试卷系列答案
综合学习与评估系列答案
综合能力训练系列答案
字词句段篇系列答案
自主训练系列答案
自主学习指导课程系列答案
自主创新作业系列答案
认知规律训练法系列答案
钟书金牌期末冲刺100分系列答案
重难点突破训练系列答案
相关题目
设函数
f(x)=3sin(-2x+
π
4
)
的图象为C,有下列四个命题:
①图象C关于直线
x=-
5π
8
对称:
②图象C的一个对称中心是
(
7π
8
,0)
;
③函数f(x)在区间
[
π
8
,
3π
8
]
上是增函数;
④图象C可由y=-3sin2x的图象左平移
π
8
得到.其中真命题的序号是
.
设函数
f(x)=
1
2
x
2
-tx+3lnx,g(x)=
2x+t
x
2
-3
,已知a,b为函数f(x)的极值点(0<a<b).
(1)求函数g(x)在区间(-∞,-a)上单调区间,并说明理由;
(2)若曲线g(x)在x=1处的切线斜率为-4,且方程g(x)-m=0有两上不等的负实根,求m的取值范围.
设函数
f(x)=lnx-
1
2
a
x
2
-bx
(1)当
a=b=
1
2
时,求f(x)的最大值;
(2)当a=0,b=-1时,方程2mf(x)=x
2
有唯一实数解,求正数m的值.
设函数
f(x)=lnx-
1
2
a
x
2
-bx
.
(I)若x=1是f(x)的极大值点,求a的取值范围;
(II)当a=0,b=-1时,方程2mf(x)=x
2
中唯一实数解,求正数m的值.
设函数
f(x)=
2
x
2
x+1
,g(x)=(a+2)x+5-3a.
(1)求函数f(x)在区间[0,1]上的值域;
(2)若对于任意x
1
∈[0,1],总存在x
2
∈[0,1],使得g(x
2
)=f(x
1
)成立,求实数a的取值范围..
关 闭
试题分类
高中
数学
英语
物理
化学
生物
地理
初中
数学
英语
物理
化学
生物
地理
小学
数学
英语
其他
阅读理解答案
已回答习题
未回答习题
题目汇总
试卷汇总
练习册解析答案