题目内容
设数列{an}的前n项和为Sn,已知a1=1,Sn+1=4an+2,
(1)设bn=an+1-2an,证明数列{bn}是等比数列;
(2)求数列{an}的通项公式。
(1)设bn=an+1-2an,证明数列{bn}是等比数列;
(2)求数列{an}的通项公式。
(1)证明:由
,
有,
+2,
+2=5,
∴
,
由
,…①
则当
时,有
,…②
②-①得,
,
∴
,
又
,
∴
,
∴
是首项
,公比为2的等比数列。
(2)解:由(1)可得,
,
∴
,
∴数列
是首项为
,公差为
的等差数列。
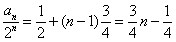
∴
,
即
。
∴
由
则当
②-①得,
∴
又
∴
∴
(2)解:由(1)可得,
∴
∴数列
∴
即
练习册系列答案
相关题目